Skrifennow
My blog, imported from Blogger and converted using Jekyll.
« Prev
1
2
3
4
5
6
7
8
9
10
11
12
13
14
15
16
17
18
19
20
21
22
23
24
25
26
27
28
29
30
31
32
33
34
35
36
37
38
39
40
41
42
43
44
45
46
47
Next »
Skrifenn Peswar warn Ugens - Writing 24 - thesis submitted
I submitted my MSc thesis a little over a week ago! Finally!
Skrifenn Tri warn Ugens - Writing Twenty-three - close to submitting thesis
I'm close to submitting my MSc thesis. The analysis has really come together well, and I have sorted out (I hope) most of the errors in it. I hope to submit it within a week or two.
So the main point is that the Triangulum Galaxy has interacted with Andromeda, and a load of material has been stripped off the Triangulum (smaller) galaxy as it has gravitationally interacted with the larger Andromeda galaxy. I'm looking at that in a new way, using spectroscopic observations to select stars based on their radial velocity (as determined by their Doppler shift). Then once this selection is made, any differences in composition (what we call metallicity in astronomy) can be measured, although for individual stars in Triangulum galaxy, these measurements are not all that accurate.
So the main point is that the Triangulum Galaxy has interacted with Andromeda, and a load of material has been stripped off the Triangulum (smaller) galaxy as it has gravitationally interacted with the larger Andromeda galaxy. I'm looking at that in a new way, using spectroscopic observations to select stars based on their radial velocity (as determined by their Doppler shift). Then once this selection is made, any differences in composition (what we call metallicity in astronomy) can be measured, although for individual stars in Triangulum galaxy, these measurements are not all that accurate.
Skrifenn Dew warn ugens - Lymnans
Yma folenn kann a-ragov
Parys yw bos lymnys gans liw
My a lym war an folennn
Du ha gwrydh, glas ha melyn
Howlsedhes orth Boswednack
War gorthugher howlsavla gwav
An skeusenn o tewl, nebes trist
Mes yma dhe'n lymnans ken gis
Skrifenn Ugens - Kernewek kewsys gans jynn-amontya! - Cornish spoken by computer
I recently managed to make my computer speak Cornish.
How did I manage this?
It turns out that espeak is available in Welsh.
First it is necessary to process the Cornish text to replace "dh" with "dd", "f" with "ff" etc. so that it conforms more closely to the Welsh orthography.
Then simply feed in the processed text to espeak with the Welsh voice.
Here's the python script to convert to Welsh orthography:
kernewek_to_welshorthography.py
import sys
import string
# takes first argument as input text, second as output
inputfile = sys.argv[1]
outputfile = sys.argv[2]
#print inputtext_words
inputtext = file(inputfile).readlines()
def towelsh(inputtext):
outputtext = ""
for w in inputtext:
w = w.lower()
w = w.replace("dh","dd")
w = w.replace("f","ff")
w = w.replace("y","i")
w = w.replace("ll","l")
w = w.replace("ch","tj")
w = w.replace("gh","ch")
outputtext += w + "\n"
return outputtext
outputtext = towelsh(inputtext)
outputtext = outputtext.replace(" .",".")
outputtext = outputtext.replace(" - ","-")
outputtext = outputtext.replace(" ' ","'")
#print towelsh
out = file(outputfile,"w")
out.write(outputtext)
And a shell script to launch espeak in Linux: (espeak is also available for Windows)
The input text file (original Cornish) and the output sound file are passed to the script as command line arguments.
#!/bin/bash
python kernewek_to_welshorthography.py $1 kows_workingfile.txt
espeak -vcy -w $2 -f kows_workingfile.txt
I can't say the output is perfect but it is generally passable
Bro Goth Agan Tasow (mp3)
How did I manage this?
It turns out that espeak is available in Welsh.
First it is necessary to process the Cornish text to replace "dh" with "dd", "f" with "ff" etc. so that it conforms more closely to the Welsh orthography.
Then simply feed in the processed text to espeak with the Welsh voice.
Here's the python script to convert to Welsh orthography:
kernewek_to_welshorthography.py
import sys
import string
# takes first argument as input text, second as output
inputfile = sys.argv[1]
outputfile = sys.argv[2]
#print inputtext_words
inputtext = file(inputfile).readlines()
def towelsh(inputtext):
outputtext = ""
for w in inputtext:
w = w.lower()
w = w.replace("dh","dd")
w = w.replace("f","ff")
w = w.replace("y","i")
w = w.replace("ll","l")
w = w.replace("ch","tj")
w = w.replace("gh","ch")
outputtext += w + "\n"
return outputtext
outputtext = towelsh(inputtext)
outputtext = outputtext.replace(" .",".")
outputtext = outputtext.replace(" - ","-")
outputtext = outputtext.replace(" ' ","'")
#print towelsh
out = file(outputfile,"w")
out.write(outputtext)
And a shell script to launch espeak in Linux: (espeak is also available for Windows)
The input text file (original Cornish) and the output sound file are passed to the script as command line arguments.
#!/bin/bash
python kernewek_to_welshorthography.py $1 kows_workingfile.txt
espeak -vcy -w $2 -f kows_workingfile.txt
I can't say the output is perfect but it is generally passable
Bro Goth Agan Tasow (mp3)
Skrifenn Nownsek - Tekstow Kernewek Rann Dew - Writing Nineteen - Cornish Texts Part Two
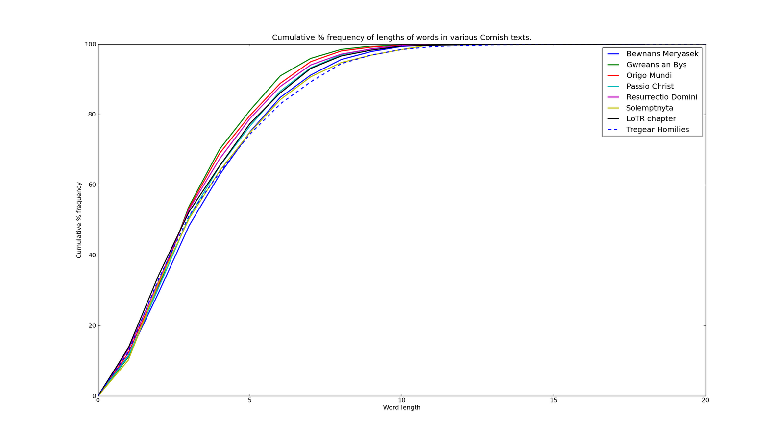
Here's a couple of graphical results, a cumulative frequency plot of the lengths of words, and a bar chart showing a number of the most common words found in all of the texts. The images don't display all that well inline, so click on them to see them at full resolution.


« Prev
1
2
3
4
5
6
7
8
9
10
11
12
13
14
15
16
17
18
19
20
21
22
23
24
25
26
27
28
29
30
31
32
33
34
35
36
37
38
39
40
41
42
43
44
45
46
47
Next »